MLZ ist eine Kooperation aus:

Technische Universität München> Technische Universität MünchenHelmholtz-Zentrum Hereon> Helmholtz-Zentrum Hereon
Forschungszentrum Jülich> Forschungszentrum Jülich

MLZ ist Mitglied in:

LENS> LENSERF-AISBL> ERF-AISBL

MLZ in den sozialen Medien:

Logo

MLZ

Lichtenbergstr.1
85748 Garching

06.07.2018

Neues Material könnte Kosten in der medizinischen Bildgebung sparen

Dr. Rajeev Ranjan und Dr. Anatoliy Senyshyn Dr. Rajeev Ranjan und Dr. Anatoliy Senyshyn Dr. Rajeev Ranjan und Dr. Anatoliy Senyshyn (r.) bei Messungen am Instrument SPODI des MLZ. © W. Schürmann / TUM

Dr. Rajeev Ranjan und Dr. Anatoliy Senyshyn (r.) bei Messungen am Instrument SPODI des MLZ. © W. Schürmann / TUM

Indische Forscher haben eine piezoelektrische Keramik entwickelt, die den höchsten bisher gemessenen Verformungswert für polykristalline Materialien beim Anlegen einer elektrischen Spannung aufweist. Sie kommt damit ganz nahe an die bisher rekordhaltenden Einkristalle heran. Mit Neutronenstreuung am MLZ-Instrument SPODI konnten die Forscher erklären, wie das Material diesen hohen Wert erreicht.

Diese Keramik ist der Traum eines jeden Materialwissenschaftlers: Sie könnte in der Automobilindustrie, in der medizinischen Bildgebung, in elektrischen Bauelementen und vielem mehr eingesetzt werden. Sie wäre einfacher herzustellen und eine kostengünstigere Alternative zu bisher in der Industrie verwendeten Materialien. Ihr Entdecker, Prof. Dr. Rajeev Ranjan, ist voller Hoffnung und Enthusiasmus, wenn er die Eigenschaften dieses neuen piezoelektrischen Materials erklärt, dessen Struktur er auch am MLZ mit Neutronen am Strukturpulverdiffraktometer SPODI untersucht hat.

Piezoelektrische Materialien verformen sich, wenn eine elektrische Spannung an sie angelegt wird. Sie können aber auch umgekehrt auf sie ausgeübten Druck in elektrische Spannung umwandeln: Jedes elektronische Feuerzeug nutzt diesen Effekt aus, um einen Funken auszulösen, wenn der Knopf gedrückt wird. Aber es gibt auch wesentlich ausgefeiltere Anwendungen wie zum Beispiel bei Ultraschallgeräten, wo piezoelektrische Materialien elektrische Spannung zunächst in Vibration und schließlich in Schall umwandeln. Im Automobilbereich werden sie verwendet, um kontrolliert Benzin in den Motor einzuspritzen. Präzise Bewegungen im Nanometerbereich, zum Beispiel beim Hubble-Weltraumteleskop, werden ebenfalls von piezoelektrischen Teilchen gesteuert.

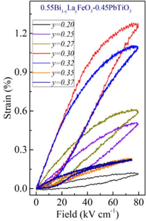
Ein wichtiger Indikator für ihre Leistungsfähigkeit ist die sogenannte spannungsinduzierte Dehnung. Sie gibt an, wie sehr sich das Material unter Stromspannung im Verhältnis zu seiner ursprünglichen Größe verformt. Während man in Einkristallen von bestimmten ferroelektrischen Oxiden eine höhere Dehnung erzielt, weisen polykristalline Materialien üblicherweise viel geringere Werte auf, obwohl sie wiederum einfacher und viel günstiger herzustellen sind. Einkristalline piezoelektrische Materialien haben den Rekord bei 1,7% spannungsinduzierter Dehnung gesetzt, während die günstigeren polykristallinen Materialien bisher maximal 0,7% erreichten. Doch die von Rajeev Ranjan entdeckte Keramik zeigte einen Wert von 1,3%!

Dehnung des Materials Dehnung des Materials Die gemessene spannungsinduzierte Dehnung des Materials. © R. Ranjan / Indian Institute of Science

Die gemessene spannungsinduzierte Dehnung des Materials. © R. Ranjan / Indian Institute of Science

Zufällige Entdeckung

Dabei war die Entdeckung eher ein Versehen. Als Rajeev Ranjans Doktorand, Bastola Narayan, in Bangalore ein neues Material aus Lanthan, Bismut, Eisenoxid mit Bleititaniumoxid mischte, wollte er eigentlich ein ganz anderes Phänomen untersuchen, nämlich die Multiferroizität. Aber die neue Mixtur hielt nicht, was man sich von ihr versprochen hatte. „Wir haben es beiseitegelegt“, sagt Rajeev Ranjan. Aber bei Routinemessungen im Labor, fanden die Materialwissenschaftler in Bangalore sehr hohe Werte für die spannungsinduzierte Dehnung: Mit 1,3% fast doppelt so viel wie alle bisherigen Materialien. „Wir wiederholten die Messungen, weil wir unseren Augen nicht trauten“, sagt der außerplanmäßige Professor am Indischen Institut der Wissenschaften. Und dann untersuchten sie die Struktur von BiFeO3-PbTiO3-LaFeO3 noch genauer mit Neutronen und anderen Methoden.

Am Strukturpulverdiffraktometer SPODI in Garching wollte Rajeev Ranjan die Struktur auf der Nanoskala entschlüsseln. Der TUM-Instrumentwissenschaftler Dr. Anatoliy Senyshyn führte die Messungen durch. Er arbeitet mit Ranjan gemeinsam an diesem Projekt und ist sein Gastgeber für eine dreimonatige Humboldt-Fellowship am MLZ. „Nur die Neutronen konnten uns zusätzliche Informationen über die exakten Positionen der Sauerstoffatome in der Struktur geben“, erklärt Rajeev Ranjan. „Weil SPODI so einen geringen Untergrund hat, konnten wir sehr feine Merkmale in den Neutronenbeugungsdaten finden. Das half uns sehr, den Mechanismus dieser extrem großen spannungsinduzierten Dehnung in diesem Material zu erklären.“
Rajeev Ranjan lässt das neue Material jetzt gerade in Indien patentieren.

Originalveröffentlichung:
Bastola Narayan, Jaskaran Singh Malhotra, Rishikesh Pandey, Krishna Yaddanapudi, Pavan Nukala, Brahim Dkhil, Anatoliy Senyshyn & Rajeev Ranjan
Electrostrain in excess of 1% in polycrystalline piezoelectrics
Nature Materials, 17, 427 (2018)

Artikel auf Phys.org zum Thema

MLZ ist eine Kooperation aus:

Technische Universität München> Technische Universität MünchenHelmholtz-Zentrum Hereon> Helmholtz-Zentrum Hereon
Forschungszentrum Jülich> Forschungszentrum Jülich

MLZ ist Mitglied in:

LENS> LENSERF-AISBL> ERF-AISBL

MLZ in den sozialen Medien: